PEvAU en Andalucía
Indignación entre los estudiantes andaluces por el examen de Matemáticas: «Lo ha puesto el Diablo»Las redes sociales arden ante la gran dificultad de la prueba, que ha provocado incluso llantos a las puertas de las facultades
Las pruebas de Selectividad están dando que hablar en Andalucía. Tras una primera jornada con los exámenes de Lengua e Historia como protagonistas, este ... miércoles 14 ha tenido lugar el de Matemáticas II en toda la comunidad para tristeza y desesperación de múltiples estudiantes, que han vertido sus quejas en redes sociales a causa de la extrema dificultad de la prueba.
En Granada algunos de los estudiantes y padres han explicado que los problemas han sido «muy difíciles» y con enunciados muy enrevesados. Este examen de la fase de acceso es crucial para poder acceder a carreras en las que la nota de corte es alta por lo que todas las décimas son buenas.
Noticia Relacionada
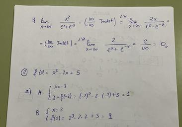
El examen de Matemáticas en Andalucía, resuelto por un físico
En las redes sociales las quejas han sido de todo tipo; algunos han dicho que era una prueba como para entrar a la NASA, un ejercicio de una ingeniería aeroespacial y así decenas de comparaciones. No han faltado las directas e indirectas a quienes desde otras comunidades autónomas dicen que la selectividad de Andalucía es más fácil.
«El que saque un 10 va directo a SpaceX sin necesidad de estudiar carrera. El examen lo ha puesto el mismísimo Diablo», ha ironizado el granadino Eduardo Cara en su perfil de Twitter, cuyo tuit cuenta ya con cientas de interacciones. No ha sido el único que se ha visto en problemas para resolver las preguntas de la prueba. «La gala 'Inocente, Inocente' se ha adelantado este año con el examen de Matemáticas en Andalucía» o «Manual para no entrar a la carrera que quieres: primer paso, realizar el examen de Matemáticas» han sido otras dos de las miles de reacciones que poblan las redes sociales.
No os preocupéis, que el que saque 10 en Matemáticas II de la EVAU de Andalucía va directo a SpaceX, sin carrera ni nada.
— Eduardo Cara Lopez (@educlp_) June 14, 2023
JAJAJAJAJ El examen lo ha puesto el mismísimo diablo🤡🤡
Define examen matemáticas selectividad andalucia pic.twitter.com/ENpaeDLRpF
— eva05_m (@eva05_m) June 14, 2023
La cara del que puso el examen de Matemáticas II en Andalucía cuando lo terminó. pic.twitter.com/2Xiv22VVvM
— elmagocapullo (@elmagocapullo) June 14, 2023
Para los creadores del examen de Matemáticas II de Andalucia, me gustaría saber si tienen familiares o amigos que se presentan a dicho examen y si consideran que el nivel es el adecuado. El problema es definir y cribar el futuro de una persona en base a este bochorno.
— Ana ✨ (@AnaFdez_16) June 14, 2023
Que lleven a un psiquiátrico al que hizo el examen de Matemáticas II de Andalucía, necesita ayuda urgente.
— tu crush👀 (@10_zulee) June 14, 2023
MANUAL DE COMO NO ENTRAR A LA CARRERA QUE QUIERES:
— Marinii🍞🐝 (@Mariina_030) June 14, 2023
Paso 1- Hacer el examen de matemáticas II de Andalucía
la gala inocente inocente se ha adelantado este año con el examen de matemáticas II de la PEvAU de Andalucía, no???
— dobby (@rociiodoval) June 14, 2023
acabo de ver un tweet de un profesor de matemáticas haciendo el examen de la Pevau de andalucia y hasta el mismo se ha equivocado en tres ejercios de primera mano, ha reviso y se ha dado cuenta, imaginate en clase con 60-70 personas que a la mayoria no conoces y con los nervios
— porroflautanike (@lorenzoolpzz) June 14, 2023
EL EXAMEN DE MATEMÁTICAS DE LA EVAU DE ANDALUCÍA NO TIENE NOMBRE.
— Aguicm24_ (@agui_cm24) June 14, 2023
COMO ARRUINAR EL FUTURO DE LOS ESTUDIANTES FÁCIL Y SENCILLO.
yo viendo mi futuro como trabajadora del mcdonald’s después del examen de matemáticas II de la evau de Andalucia: pic.twitter.com/UAAHEWvkBh
— martss (@Martaajiimenez1) June 14, 2023
Este miércoles, el segundo día de la selectividad, que comenzó el martes con tres pruebas de una forma muy tranquila, ha sido más intenso para los estudiantes. Las Matemáticas II son muy frecuentemente objeto de quejas. En 2018 por una errata, que se corrigió antes de empezar la prueba, que después se desarrolló con normalidad; y en 2019 porque lo consideraban muy difícil también el examen. Son solo dos ejemplos.
En 2023, de momento, las quejas son por la dificultad y no por erratas, contenidos no trabajados en clase, problemas irresolubles, entre otras cuestiones.
¿Tienes una suscripción? Inicia sesión