Jueves, 13 de junio 2019, 11:33
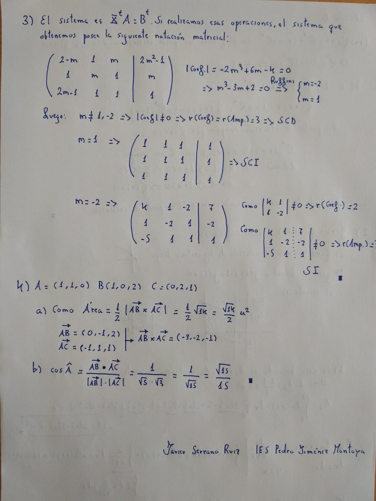
Tras la polémica surgida por la regodia de firmas para impugnarlo, un docente ha resuelto así la prueba. «No hay motivo para la queja», dice
ideal
Tras la polémica surgida por la regodia de firmas para impugnarlo, un docente ha resuelto así la prueba. «No hay motivo para la queja», dice
ideal
Tras la polémica surgida por la regodia de firmas para impugnarlo, un docente ha resuelto así la prueba. «No hay motivo para la queja», dice
ideal
Tras la polémica surgida por la regodia de firmas para impugnarlo, un docente ha resuelto así la prueba. «No hay motivo para la queja», dice
ideal
Tras la polémica surgida por la regodia de firmas para impugnarlo, un docente ha resuelto así la prueba. «No hay motivo para la queja», dice
ideal
¿Tienes una suscripción? Inicia sesión
Publicidad
Te puede interesar
-
El fenómeno 'Stranger Things' y su demogorgon invaden Valladolid
El Norte de Castilla
Publicidad
- 1 Disparan y rompen las lunas de dos autobuses en la zona Norte
- 2 Hallan un cadáver en Cúllar que podría ser el de una mujer desaparecida en Almería hace tres meses
- 3 El vuelco de un camión genera retenciones en la A-92 de Granada en plena operación salida
- 4 Aviso de los productores por el precio del aceite de oliva tras el inicio de la campaña: «No hay tamaño»
-
5
El partido de Copa del Granada CF, de pago para los abonados y ante un Primera
- 6 Muere Alfonso Ussía a los 77 años
-
7
El Ayuntamiento cierra el expediente de la fotovoltaica del Fargue, que no se llevará a cabo
- 8 La cafetería que trae a Granada los dulces soviéticos: «Es un viaje a mi infancia»
- 9 La ruta por el Canal de los Franceses para disfrutar del buen tiempo este puente
- 10 Sorprenden a dos hombres robando en un concesionario de Granada
-
Publicidad
Publicidad
Publicidad
Publicidad
Publicidad
Publicidad